Etiquetas

miércoles, 13 de mayo de 2020

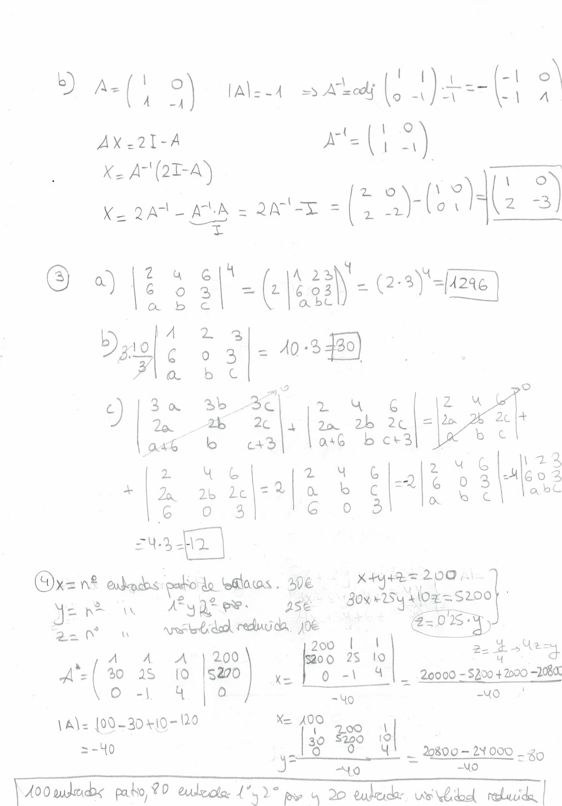
Examen álgebra 13/05 2BA







No hay comentarios:

Publicar un comentario

Nota: solo los miembros de este blog pueden publicar comentarios.