Etiquetas

jueves, 14 de mayo de 2020

Clase jueves 14 mayo 4C

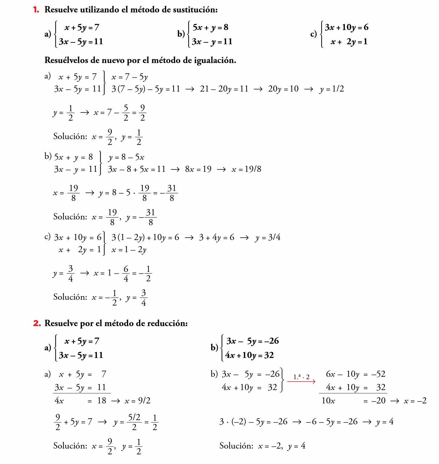
Soluciones actividades:




Explicación:


Apuntes:


Tareas: pág 72 ej 18, 20

No hay comentarios:

Publicar un comentario

Nota: solo los miembros de este blog pueden publicar comentarios.