Etiquetas

lunes, 11 de mayo de 2020

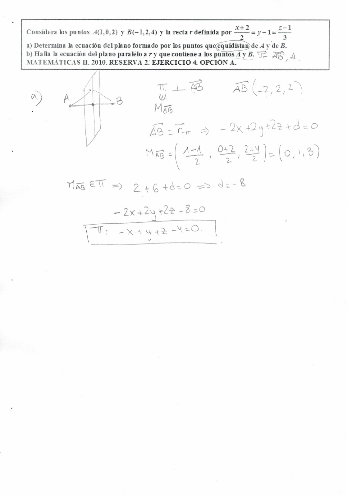
Clase lunes 11 mayo 2BA

Explicación:


Apuntes:







Tareas: 2014SA, 2015R3B, 2019JA, 2019R1A

No hay comentarios:

Publicar un comentario

Nota: solo los miembros de este blog pueden publicar comentarios.