Etiquetas

martes, 14 de abril de 2020

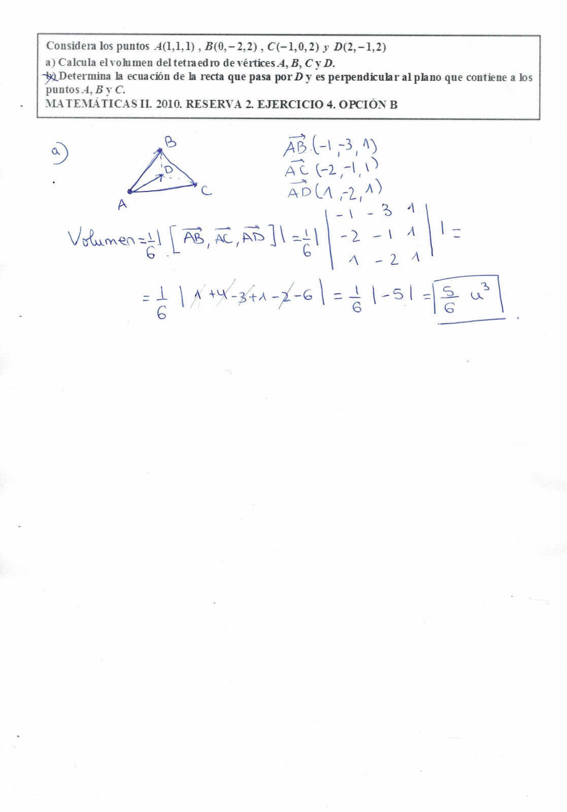
Clase martes 14 abril 2BA

COMENZAMOS EL ÚLTIMO TRIMESTRE! ÁNIMO!


Explicación:


Apuntes:






Tareas: 2017R3Ba, 2011SA, 2014R2A

No hay comentarios:

Publicar un comentario

Nota: solo los miembros de este blog pueden publicar comentarios.