Etiquetas

jueves, 30 de abril de 2020

Clase jueves 30 abril 4C

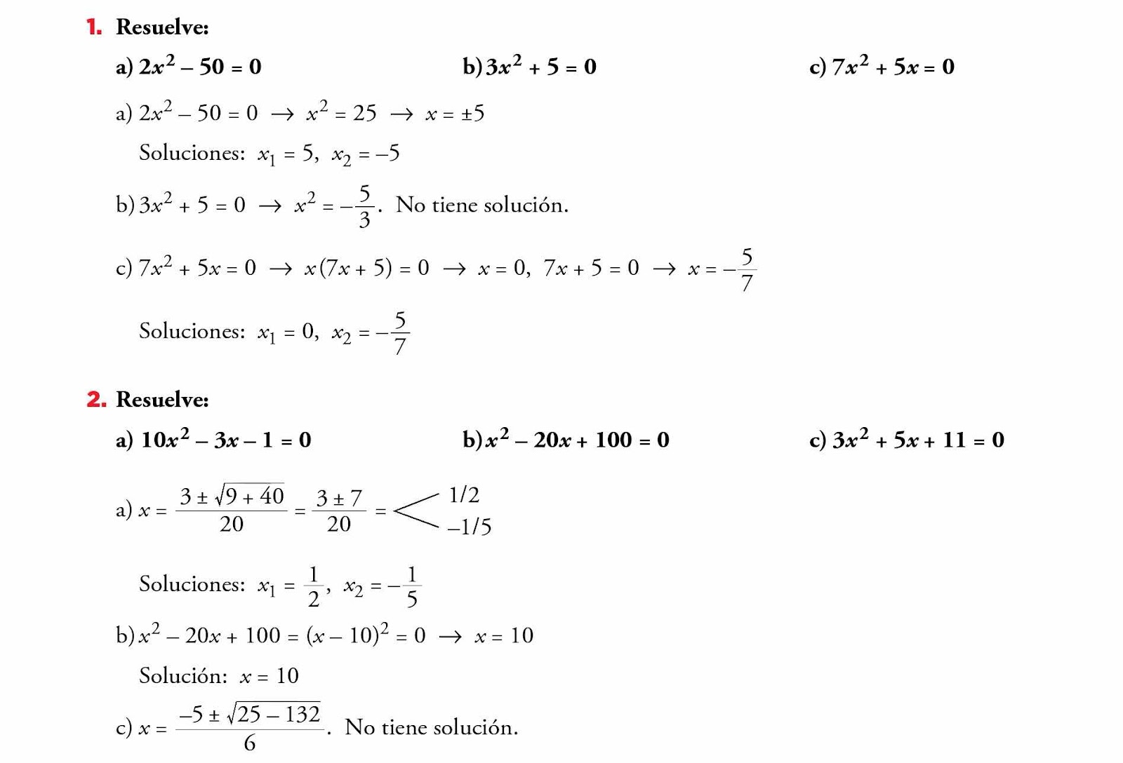
Soluciones actividades lunes:



Explicación:


Apuntes:


Tareas: pág 71 ej 4 y 5

No hay comentarios:

Publicar un comentario

Nota: solo los miembros de este blog pueden publicar comentarios.