Etiquetas

miércoles, 18 de marzo de 2020

Clase miércoles 18 marzo 1A

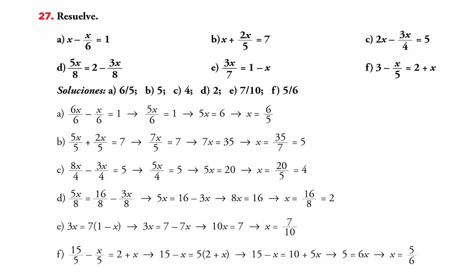
Soluciones actividades de ayer:




Para hoy, he pensado que antes de pasar a los problemas, que los veremos el viernes, vamos a hacer un mini- repaso de todo lo que llevamos hasta ahora. Así que tenéis como tareas los ejercicios: autoevaluación pág 191 ej 1, 3, 4, 6 y 8


No hay comentarios:

Publicar un comentario

Nota: solo los miembros de este blog pueden publicar comentarios.