Etiquetas

martes, 17 de marzo de 2020

Clase martes 17 marzo 1A

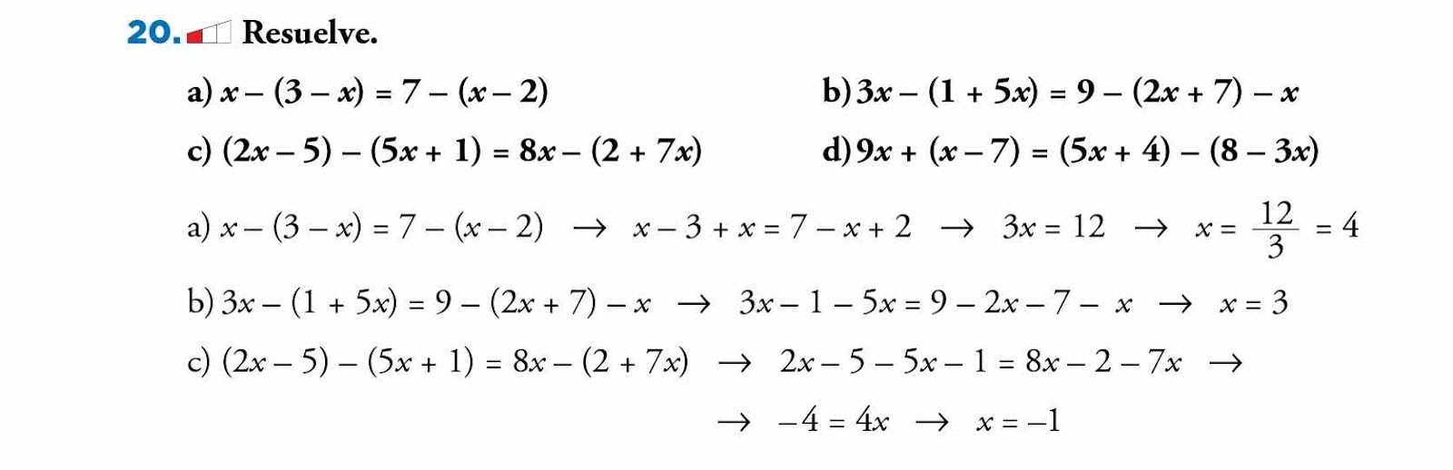
Soluciones ejercicios ayer:





explicación:

Apuntes:

Tareas: pág. 183 ej 27 y 30
Pág 187 ej 23

No hay comentarios:

Publicar un comentario

Nota: solo los miembros de este blog pueden publicar comentarios.