Etiquetas

jueves, 23 de enero de 2025

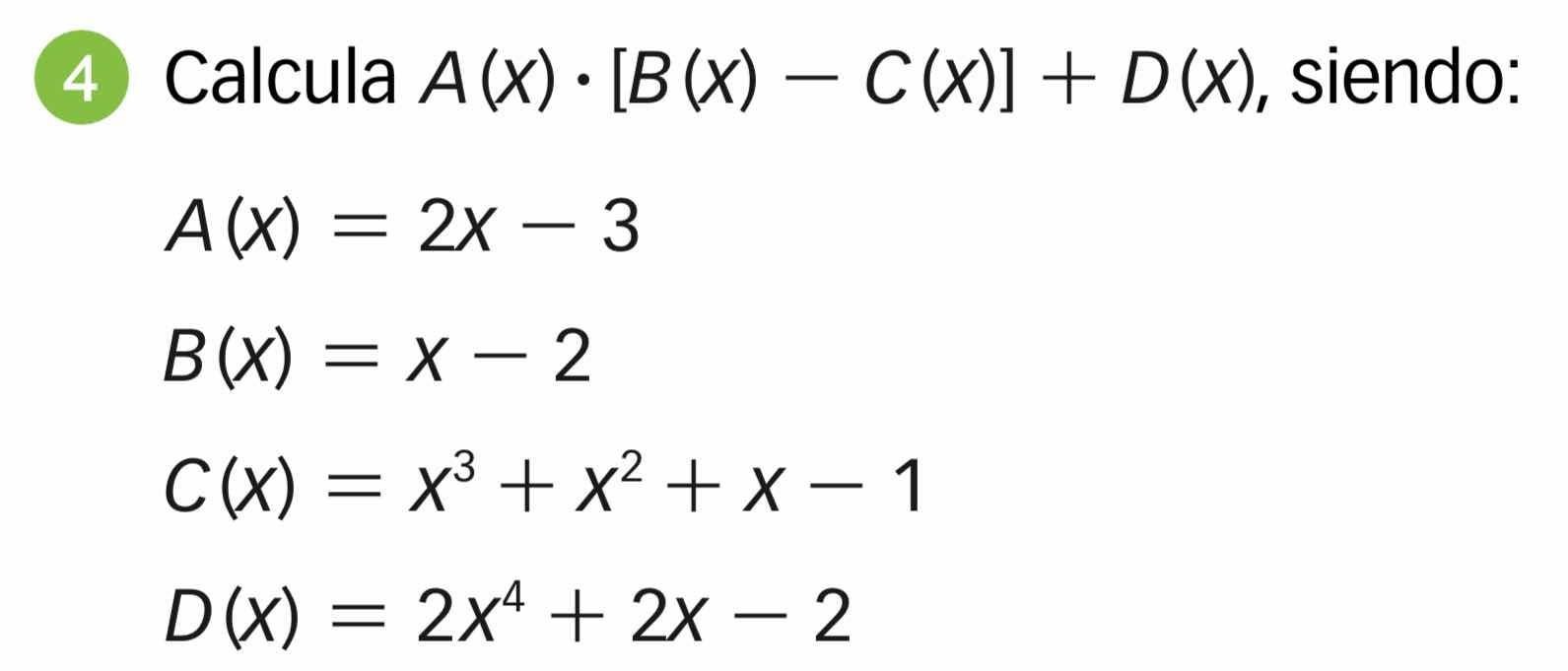
Operaciones complicadas con polinomios



No hay comentarios:

Publicar un comentario

Nota: solo los miembros de este blog pueden publicar comentarios.