Etiquetas

martes, 6 de octubre de 2020

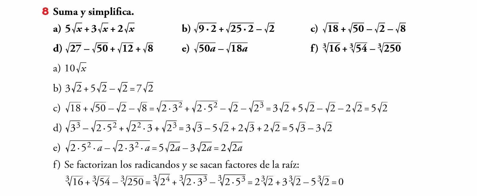
Tareas miércoles 7 octubre BCT1B & martes 6 octubre BCT1A







No hay comentarios:

Publicar un comentario

Nota: solo los miembros de este blog pueden publicar comentarios.