Etiquetas

miércoles, 18 de diciembre de 2019

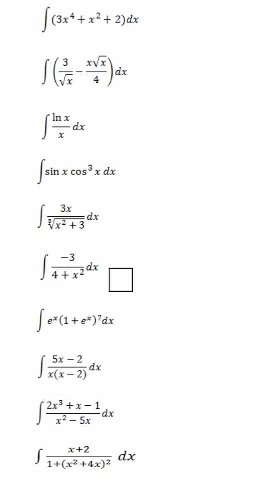
Tareas jueves 19 diciembre 2BA



No hay comentarios:

Publicar un comentario

Nota: solo los miembros de este blog pueden publicar comentarios.