Etiquetas

martes, 19 de noviembre de 2019

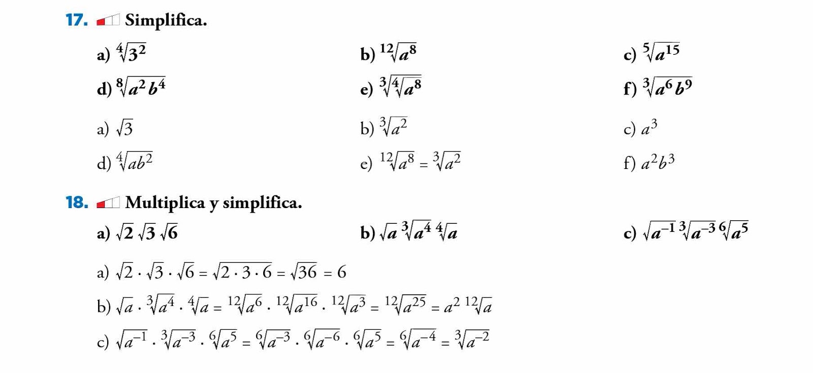
Tareas martes 19 noviembre 4C





No hay comentarios:

Publicar un comentario

Nota: solo los miembros de este blog pueden publicar comentarios.